Test Bank Pharmacology and the Nursing Process 10th Edition by Lilley
Test Bank Pharmacology and the Nursing Process 10th Edition by Lilley
Couldn't load pickup availability
Free Shipping
Return Guarantee
Secure Payment
What Is Included in This Test Bank
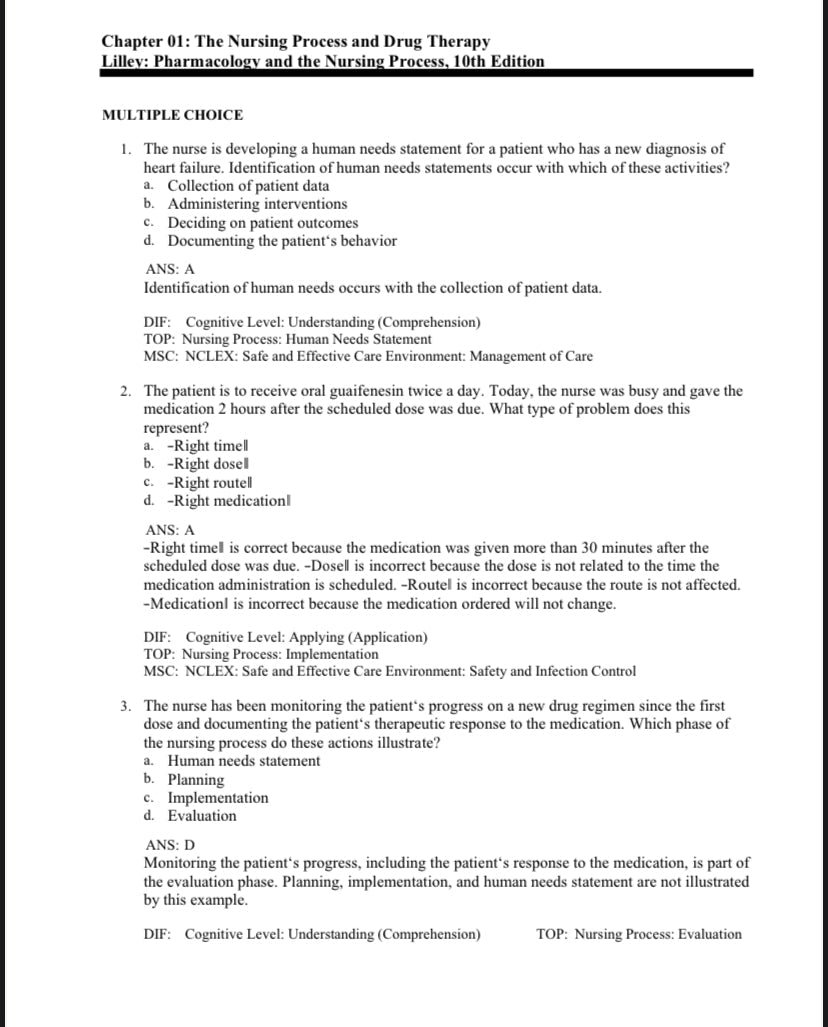
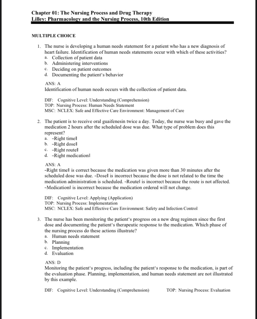
This Pharmacology and Nursing Process test bank offers a comprehensive set of exam-focused questions designed to help nursing students apply pharmacologic concepts within the nursing process framework.
Includes:
-
Multiple-choice and clinical application questions
-
Case-based questions emphasizing assessment, planning, implementation, and evaluation
-
Detailed rationales explaining correct and incorrect answers
-
Content aligned with the 10th edition of Pharmacology and the Nursing Process by Lilley

Multicolumn
-
Sarah M.
β β β β β
Rollyroty has the best selection of entertainment products! The quality is top-notch, and the customer service is fantastic. Iβll definitely be coming back!
-
Jason L.
β β β β β
"I was impressed with how quickly my order arrived. Everything was exactly as described, and the whole process was smooth. Highly recommend!"
-
Emma R.
β β β β β
I love the unique products Rollyroty offers! They bring so much joy and excitement. Perfect for anyone looking for great entertainment options!"
Nursing Test Bank PDF β Complete Exam Preparation Resource
Our Nursing Test Bank PDFs are carefully designed to help nursing students prepare for exams with confidence and efficiency. Each test bank includes well-organized practice questions that support learning, improve understanding of key nursing concepts, and strengthen exam readiness.
These digital study resources are ideal for daily review, focused revision, and full exam preparation. The content is clear, easy to follow, and structured to save time while studying. Students can use the test bank to practice independently, identify weak areas, and build confidence before quizzes, midterms, or final exams.
FAQ (ο»ΏFREQUENTLY ASKED QUESTIONS)
CAN I CHANGE MY BILLING OR SHIPPING INFORMATION?
Once you have placed an order, you should not change your billing or shipping address information. If you want to make a change, please contact our Customer Service Department at contact@muchani.co.uk as soon as possible during the order processing stage to indicate your request. If the package has not been dispatched yet, we will be able to ship to the new address. However, if the package has already been shipped, then the shipping information will not be able to be changed while the package is in transit.
What forms of payment are you accepted ?
We accept VISA, Mastercard, American Express, Discover Card.klarna
How do I know if my payment has been received?
Once your payment has been received, we will send you a notification email to inform you about the order. You can also visit www.Rollyroty.shop and log into your customer account to check the order status at any time. If Rollyroty has received payment, the order status will show "Processing".
How can i track my shipment?
Once we ship out your order, you should receive a shipment confirmation number within 24-48 hours through email to track your order